JACKSONVILLE, Fla. — Action News Jax Ben Becker has learned that the Jacksonville City Council is pressuring the Jacksonville Aviation Authority (JAA) to make major changes - including potentially rewriting the agency’s charter.
JAA is scheduled to appear before the City Council Finance Committee this Friday, and some council members are considering a bold move: creating a pathway to obtaining potentially millions of dollars in revenue from the authority.
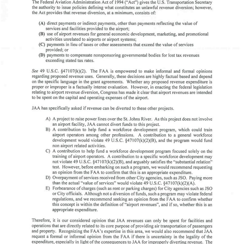
Push for Payments
City Council Vice President Nick Howland has been one of the most vocal proponents of the idea, arguing JAA should support city projects.
However, JAA leaders said in a 2024 email that Action News Jax obtained, that they are prohibited from making any payments under federal aviation law.
“Airport funds must be used for airport purposes,” said Rebecca Henry of the Orlando Airports District Office in reference to a revenue diversion question from JAA Chief Operating Officer Tony Cugno after Howland’s inquiries. “I find your e-mail quite alarming.”
In another 2024 email, JAA asked General Counsel Michael Fackler if it would be allowed to pay for projects on Howland’s wish list - including a share of raising the power lines over the St. Johns River – that would have cost millions of dollars. Fackler’s opinion appeared to conclude JAA’s revenue can only go towards its “core purpose” of air transportation and property.
Howland now maintains he is not interested in money. “I am researching possible revisions to the charter that would allow JAA to accelerate workforce and economic development opportunities at Cecil Field, particularly within the Aerospace and Defense sector. No dollars involved.”
But it raises the question of whether it leaves open the possibility in the future.
[DOWNLOAD: Free Action News Jax app for alerts as news breaks]
Jacksonville Executive at Craig Airport Expansion Back in the Spotlight
Separately, City Council President Kevin Carrico confirmed to Action News Jax that he’s spoken with JAA CEO Mark VanLoh about the idea of extending the runways at JAXEX.
“In an effort to better understand the history and the possibility of extending the runway at Craig Airfield, I asked the CEO what his understanding was on possibly looking at that. Aside from the public outcry against it, there are environmental concerns as well. I’d say the idea is still stalled of any momentum at this point,” Carrico said in a statement.
This isn’t a new idea. Action News Jax first reported in 2019 that there was an effort to expand the airport to attract more private jets and spur economic development. In 2010, a lawsuit was filed against the city to change its comprehensive plan related to JAXEX that was later dismissed by a federal judge.
The plan has always faced fierce pushback from Arlington neighbors, who worry an expansion would lead to more air traffic, increased noise, and potential environmental consequences.
That may not deter city leaders from trying again.
>>> STREAM ACTION NEWS JAX LIVE <<<
[SIGN UP: Action News Jax Daily Headlines Newsletter]















